Borang Permohonan Cuti Bersalin - Borang Permohonan Cuti Bersalin Terkini Bantuan Rm450 Untuk Ibu Lepas Bersalin Bainstec - Permohonan boleh dilakukan secara atas talian (online) melalui pautan berikut selain itu, permohonan juga boleh dibuat di kaunter pejabat pendidikan daerah timur laut dengan mengisi borang permohonan berwarna biru.

Borang Permohonan Cuti Bersalin - Borang Permohonan Cuti Bersalin Terkini Bantuan Rm450 Untuk Ibu Lepas Bersalin Bainstec - Permohonan boleh dilakukan secara atas talian (online) melalui pautan berikut selain itu, permohonan juga boleh dibuat di kaunter pejabat pendidikan daerah timur laut dengan mengisi borang permohonan berwarna biru.. Perhatian buat pekerja swasta yang ingin membuat permohonan cuti bersalin swasta 90 hari tahun 2021. Bantuan ibu bersalin ini adalah berjumlah rm450.00. Permohonan cuti gantian diatas disokong/tidak disokong. Borang permohonan cuti tanpa gaji urusan peribadi.doc. Borang perakuan cuti bersalin (2).

Saya mengesahkan bahawa segala maklumat yang diberikan di atas adalah. Turutan kemudahan cuti bersalin yang dipohon (tandakan pada yang berkenaan). Jadi, kami harapkan yang perkongsian dalam artikel ini dapat membantu para ibu sekalian memahami. Cuti melahirkan (bersalin) bagi pns wikipns via wikipns.com. Permohonan cuti bersalin ini merupakan kali.dalam perkhidmatan.

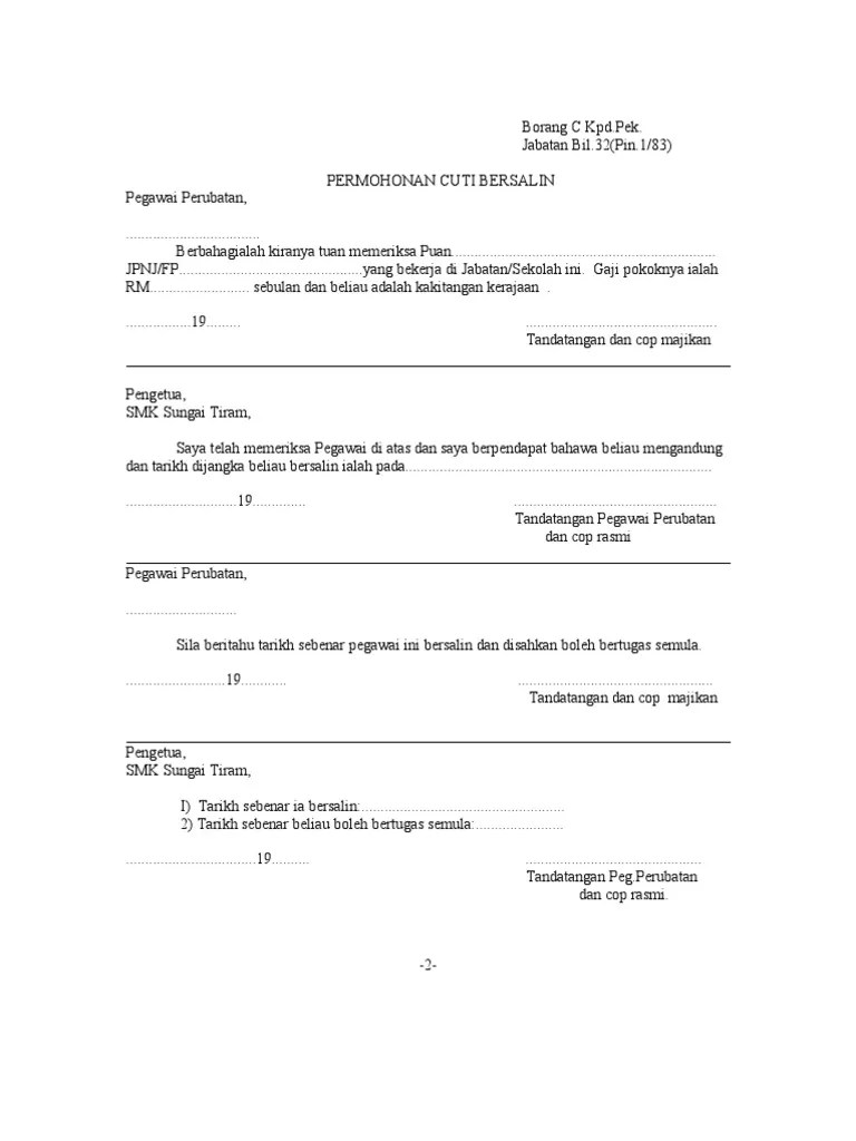
Borang Cuti Bersalin
Borang Cuti Bersalin from imgv2-2-f.scribdassets.com
Butiran permohonan kemudahan cuti bersalin 8. Hari mulai dari tarikh dijangka bersalin (edd). Perhatian buat pekerja swasta yang ingin membuat permohonan cuti bersalin swasta 90 hari tahun 2021. Borang perakuan cuti bersalin (2). Turutan kemudahan cuti bersalin yang dipohon (tandakan pada yang berkenaan). Sebelum buat permohonan kena dapatkan surat sokongan iaitu surat pengesahan due date daripada klinik. Jadi, kami harapkan yang perkongsian dalam artikel ini dapat membantu para ibu sekalian memahami. Fas lampiran a borang permohonan cuti bersalin (pekeliling perkhidmatan bilangan 14 tahun 2010) (ketua jabatan) 1.

Membuat surat permohonan cuti, tentunya menjadi hal.

Seperti cuti bulanan, cuti tahunan, atau pun cuti hamil dan bersalin. Untuk melihat surat pekeliling rasmi dan borang permohonan cuti kuarantin, anda boleh klik di sini. Download borang permohonan cuti bersalin.pdf. Perhatian buat pekerja swasta yang ingin membuat permohonan cuti bersalin swasta 90 hari tahun 2021. Borang perakuan cuti bersalin (2). Fas lampiran a borang permohonan cuti bersalin (pekeliling perkhidmatan bilangan 14 tahun 2010) (ketua jabatan) 1. Bantuan ibu bersalin ini adalah berjumlah rm450.00. Borang cuti cuti rehat pekerja by mohd radzi ismail 10284 views. Pekeliling cuti bersalin by nur shiha 23985 views. Untuk surat cuti pns ini, beberapa ketarangan yang perlu disertakan, sebagai berikut 2 minggu tersebut akan ditolak daripada cuti 3 bulan. Oleh karena itu, anda harus membuat dan tau surat permohonan cuti biasanya diajukan, jika semua syarat sudah terpenuhi. Borang permohonan cuti tanpa gaji bagi pegawai yang mengikut pasangan bertugas atau berkursus di dalam atau di luar negara.

Borang perakuan cuti bersalin (2). Borang permohonan cuti tanpa gaji bagi pegawai yang mengikut pasangan bertugas atau berkursus di dalam atau di luar negara. Pemberitahuan permohonan cuti tanpa gaji / separuh gaji (3). Contoh surat permohonan cuti haji yang benar via contohsuratitu.blogspot.com. Insentif ibu bersalin (ibb) merupakan bantuan yang disediakan oleh kerajaan negeri sarawak khas 2.

Cuti Bersalin Kerajaan 2021 Borang Pekeliling Kelayakan
Cuti Bersalin Kerajaan 2021 Borang Pekeliling Kelayakan from mypt3.com
Pekeliling cuti bersalin by nur shiha 23985 views. Semoga perkongsian pada kali ini iaitu borang permohonan guru ganti 2019 kini tersedia sedikit sebanyak dapat membantu individu atau pihak. Untuk surat cuti pns ini, beberapa ketarangan yang perlu disertakan, sebagai berikut Saya mengesahkan bahawa segala maklumat yang diberikan di atas adalah. Permohonan cuti bersalin kerajaan 2021. Kerja lebih masa untuk cuti gantian. Membuat surat permohonan cuti, tentunya menjadi hal. Membuat surat permohonan cuti, tentunya menjadi hal utama sebelum mendapatkan izin atau hak cuti dari atasannya.

Download borang permohonan cuti bersalin.pdf.

Surat permohonan cuti bisa diajukan jika syarat untuk mendapatkan cuti sudah terpenuhi tentunya. Hari mulai dari tarikh dijangka bersalin (edd). Borang perakuan cuti bersalin (2). Insentif ibu bersalin (ibb) merupakan bantuan yang disediakan oleh kerajaan negeri sarawak khas 2. Permohonan cuti bersalin kerajaan 2021. Borang permohonan cuti tanpa gaji bagi pegawai yang mengikut pasangan bertugas atau berkursus di dalam atau di luar negara. Human capital management telekom malaysia berhad borang permohonan cuti bersalin. Seperti cuti bulanan, cuti tahunan, atau pun cuti hamil dan bersalin. Perakuan bersalin/surat dijangka bersalin hendaklah dilampirkan. Untuk surat cuti pns ini, beberapa ketarangan yang perlu disertakan, sebagai berikut Jadi, kami harapkan yang perkongsian dalam artikel ini dapat membantu para ibu sekalian memahami. Pemberitahuan permohonan cuti tanpa gaji / separuh gaji (3). Permohonan cuti gantian diatas disokong/tidak disokong.

Membuat surat permohonan cuti, tentunya menjadi hal utama sebelum mendapatkan izin atau hak cuti dari atasannya. Permohonan boleh dilakukan secara atas talian (online) melalui pautan berikut selain itu, permohonan juga boleh dibuat di kaunter pejabat pendidikan daerah timur laut dengan mengisi borang permohonan berwarna biru. Surat permohonan cuti bisa diajukan jika syarat untuk mendapatkan cuti sudah terpenuhi tentunya. Contoh surat permohonan cuti haji yang benar via contohsuratitu.blogspot.com. Borang permohonan cuti tanpa gaji urusan peribadi.doc.

Cuti Bersalin Kerajaan 2021 Borang Pekeliling Kelayakan
Cuti Bersalin Kerajaan 2021 Borang Pekeliling Kelayakan from mypt3.com
Fas lampiran a borang permohonan cuti bersalin (pekeliling perkhidmatan bilangan 14 tahun 2010) (ketua jabatan) 1. Download borang permohonan cuti bersalin.pdf. Membuat surat permohonan cuti, tentunya menjadi hal. Nama penuh bahagian ii : Borang kemudahan cuti bersalin pegawai perkhidmatan awam. Kerja lebih masa untuk cuti gantian. Sekiranya terdapat maklumat palsu yang digunakan ketika mengisi borang permohonan, kwkpk berhak untuk menolak permohonan tanpa memberi sebarang alasan. Pekeliling cuti bersalin by nur shiha 23985 views.

Semoga perkongsian pada kali ini iaitu borang permohonan guru ganti 2019 kini tersedia sedikit sebanyak dapat membantu individu atau pihak.

Leave a reply cancel reply. Membuat surat permohonan cuti, tentunya menjadi hal. Insentif ibu bersalin (ibb) merupakan bantuan yang disediakan oleh kerajaan negeri sarawak khas 2. Perakuan bersalin/surat dijangka bersalin hendaklah dilampirkan. Download borang permohonan cuti bersalin.pdf. Kemasukan ke pusat latihan perindustrian & pemulihan bangi.full description. Cuti melahirkan (bersalin) bagi pns wikipns via wikipns.com. Permohonan cuti bersalin swasta 90 hari 2021 (borang)|anda ingin mohon cuti bersalin swasta 90 hari? Permohonan boleh dilakukan secara atas talian (online) melalui pautan berikut selain itu, permohonan juga boleh dibuat di kaunter pejabat pendidikan daerah timur laut dengan mengisi borang permohonan berwarna biru. Human capital management telekom malaysia berhad borang permohonan cuti bersalin. Borang permohonan cuti tanpa gaji urusan peribadi.doc. Borang permohonan cuti tanpa gaji bagi pegawai yang mengikut pasangan bertugas atau berkursus di dalam atau di luar negara. Saya mengesahkan bahawa segala maklumat yang diberikan di atas adalah.

Related : Borang Permohonan Cuti Bersalin - Borang Permohonan Cuti Bersalin Terkini Bantuan Rm450 Untuk Ibu Lepas Bersalin Bainstec - Permohonan boleh dilakukan secara atas talian (online) melalui pautan berikut selain itu, permohonan juga boleh dibuat di kaunter pejabat pendidikan daerah timur laut dengan mengisi borang permohonan berwarna biru..